Un percorso del simbolismo matematico, dal concetto di insieme alla definizione di funzione, al simbolismo dell’analisi infinitesimale, accompagnato da considerazioni didattiche.
In questa seconda parte dell’articolo (la prima parte è stata pubblicata nel Numero 42 di Emmeciquadro) si analizzano il simbolismo degli insiemi, l’introduzione del concetto di funzione e gli ulteriori sviluppi del simbolismo; si conclude con alcune osservazioni di carattere didattico.
Il linguaggio degli insiemi e le funzioni
Il linguaggio degli insiemi è stato utilizzato a partire dall’Ottocento, sempre più sistematicamente, in tutti i lavori sui fondamenti della matematica. Verso la fine dell’Ottocento, Cantor [Immagine a sinistra: Georg Cantor (1845-1918)] ha studiato in profondità la teoria degli insiemi infiniti, che è solitamente considerata una sua creazione.
Nel 1900, la scoperta da parte di Bertrand Russel (1872-1970) di una famosa «antinomia» sembrò mettere in crisi il modo (oggi poco rispettosamente detto «ingenuo») di concepire gli insiemi a quel tempo.
Nei primi anni del Novecento furono fatti vari tentativi di assiomatizzare rigorosamente questa disciplina (teoria di Zermelo – Fraenkel, teoria di von Neumann) [Immagine a destra: Ernst Zermelo (1871-1953). Immagine che segue a sinistra: Abraham Fraenkel (1891-1965)] , che da allora è diventata, dal punto di vista formale, una teoria matematica come le altre.
Invece, nell’Ottocento era pensata come una sorta di prolungamento della logica, intesa quest’ultima, al modo classico, come l’insieme delle «regole del ben ragionare» e non, come sarebbe divenuta nel Novecento, come una branca dell’algebra astratta.
Qui ci interessa riflettere non tanto sulla teoria formale degli insiemi, con i suoi problemi, i suoi metodi, i suoi successi, coltivati dagli addetti ai lavori, ma sul «linguaggio degli insiemi» che dall’Ottocento a oggi è divenuto il pane quotidiano dei matematici, il modo normale in cui si formalizza, si scrive, si insegna la matematica nelle università e, almeno per quanto riguarda l’analisi matematica, anche a scuola. 
In particolare, vediamo come il linguaggio degli insiemi ha influito sul precisarsi del concetto di «funzione», che è uno dei concetti centrali dell’analisi [Immagine a destra: John von Neumann (1903-1957)].
Prima dell’Ottocento i matematici usavano questo concetto senza una definizione esplicita. Per esempio, per Newton una funzione (che lui chiama «fluente») è pensata come una grandezza variabile nel tempo con continuità, «come una linea è generata dal moto continuo di un punto»(a).
Un’idea generale ma molto vaga [Immagine a sinistra: Frontespizio del trattato di Newton “De quadratura curvarum“].
In pratica Newton, anziché precisare teoricamente questa richiesta, si limita a considerare le funzioni che hanno un’espressione analitica ben precisa: polinomi, quozienti di polinomi, serie di potenze (da lui studiate, e viste come generalizzazione dei polinomi), e che generalmente soddisfano certi requisiti di regolarità.
Il criterio pragmatico di demarcazione tra le funzioni accettabili in analisi, per Newton, diventa (implicitamente) la forma della loro espressione analitica [Immagine a destra: “Introductio” al “De quadratura curvarum”].
Nel 1718, J. Bernoulli1(667-1748) è altrettanto vago:
«Chiamiamo qui funzione di una grandezza variabile, una quantità che è composta in ogni possibile maniera di questa grandezza variabile e di costanti»
.
Sotto la spinta del calcolo infinitesimale e della meccanica di Newton, a partire dal Settecento si assiste a un fiorire di ricerche di fisica matematica [Immagine a sinistra: John Bernoulli (1667-1748)].
Alcune di queste ricerche si concentrano su problemi fisici (diffusione del calore, vibrazione di corde e membrane) che, per la loro risoluzione, coinvolgono problemi matematici rilevanti e stimolano la nascita di nuove teorie, come quella delle serie di Fourier(1768-1830).
Questo circolo di idee rende sempre più pressante il problema di definire con precisione un ambito di lavoro: che cos’è una funzione, in generale? Quali sono le ipotesi sotto le quali i procedimenti del calcolo infinitesimale sono applicabili alle funzioni? Quali sono le ipotesi minime sotto le quali le varie «formule risolutive» trovate per i vari problemi della fisica matematica si possono considerare valide?
Nel 1837, Dirichlet dà la seguente definizione di funzione, che sostanzialmente è quella che si dà ancora oggi (almeno nel contesto delle funzioni reali di variabile reale):
«Se ad ogni x (di un certo intervallo) corrisponde un unico valore y finito, allora y è detto funzione di x su questo intervallo. Questa definizione non richiede una definizione comune per le varie parti della curva; si può immaginare la curva composta delle componenti più eterogenee oppure tracciata senza seguire alcuna legge».
L’idea di Dirichlet [Immagine a destra: Johann Peter Gustav Lejeune Dirichlet (1805-1859)], espressa nel linguaggio attuale, è che ha il diritto di chiamarsi funzione una qualsiasi legge che permetta di associare univocamente ad ogni numero di un certo insieme A un numero di un certo insieme B. Non importa che questa legge abbia qualcosa a che fare con polinomi, logaritmi, esponenziali, o altre consuete funzioni elementari. L’univocità della corrispondenza è l’unica richiesta essenziale per poter parlare di funzione. Per esempio (l’esempio è proprio dovuto a Dirichlet), è una funzione quella che ad ogni numero razionale associa 1 e ad ogni numero irrazionale associa 0.
Questa idea è semplice ma rivoluzionaria, in quanto la completa arbitrarietà della legge che definisce una funzione destituisce di importanza l’esistenza di una particolare espressione analitica, a vantaggio di una totale generalità; al tempo stesso, viene a cadere il requisito (che aveva il difetto di essere espresso in modo vago, ma il vantaggio di essere intuitivo) di «grandezza che varia con continuità». La funzione è definita punto per punto, e il suo valore in un punto non ha a priori alcuna relazione coi valori nei punti vicini. Ciò significa che non c’è da aspettarsi a priori nessuna particolare regolarità dal grafico della funzione: potrebbe essere una curva discontinua, con salti e strappi di ogni genere, oppure non avere retta tangente, o avere ogni sorta di «patologia», come accade con l’esempio fatto sopra di funzione che vale 1 se x è razionale e 0 se x è irrazionale, il cui grafico è impossibile da disegnare.
«Ci accorgemmo che le funzioni, alla pari degli uomini, sono capaci del peggio». (F. Klein(b)).
È chiaro che l’allargamento smisurato dell’ambito di ciò che si può considerare «funzione», rende poi molto più delicata la dimostrazione dei teoremi: non ci si potrà appellare a proprietà «geometricamente intuitive» del grafico delle funzioni, perché di intuitivo in questo concetto è rimasto ben poco.
Il precisarsi del moderno concetto di funzione, una conquista nel cammino di rigorizzazione compiuta dall’analisi matematica nel XIX secolo, ha fissato il contesto di tutta la ricerca successiva in analisi e dettato un nuovo canone di rigore matematico. E tutto questo semplicemente introducendo un termine, una definizione, che segna un punto di svolta nel linguaggio di tutta la matematica. A sua volta, questo è conseguenza (o se vogliamo è un aspetto) dell’affermarsi progressivo del linguaggio degli insiemi: la definizione moderna di funzione è semplice e «naturale» dal punto di vista del linguaggio degli insiemi.
Ancora, il nuovo linguaggio ha in sé la potenzialità di aprire nuovi mondi all’esplorazione: perché limitarsi a considerare funzioni definite tra insiemi di numeri?
Possiamo considerare, come si farà sistematicamente dall’inizio del Novecento con l’«analisi funzionale», funzioni definite tra insiemi arbitrari, in particolare tra insiemi di funzioni. Questo non è un circolo vizioso, ma il fenomeno, tipico del linguaggio degli insiemi, di prestarsi a una stratificazione dei livelli di astrazione.
Linguaggio e simbolismo
Quest’ultimo punto è in un certo senso trasversale rispetto ai precedenti. Ci chiediamo quale sia il ruolo specifico del simbolismo, all’interno di un particolare linguaggio matematico. Partiamo da un esempio: è una questione di linguaggio decidere di definire le potenze come un’abbreviazione del prodotto di più fattori uguali, e dire «due alla tre» per indicare 2 x 2 x 2. E’ una questione di simbolismo decidere di indicarla con una scrittura del tipo 23 piuttosto che 32 o 23. Se fin da piccoli ci avessero insegnato a usare una di queste ultime due scritture, ora la considereremmo naturale.
Detto così, sembrerebbe che il simbolismo usato sia puramente convenzionale, e quindi concettualmente secondario. Un grande matematico e filosofo, Leibniz [Immagine a sinistra: Gottfried Leibniz (1646-1716)], non era affatto d’accordo con quest’idea:
«Ai simboli è da richiedere che essi si prestino alla ricerca; ciò succede principalmente quando essi esprimono in modo conciso e quasi dipingono l’intima natura della cosa, perché allora essi risparmiano mirabilmente lo sforzo di pensiero(c)».
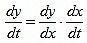
Leibniz stesso ha offerto ottimi esempi di questo suo «programma», nei simboli da lui introdotti nello studio del calcolo infinitesimale, come la notazione per la derivata di una funzione y = f(x) che, come noto, «ci ricorda» che la derivata è il limite del rapporto incrementale, quindi il limite a cui tende il rapporto tra due quantità sempre più piccole. Con questa felice notazione, un teorema importante come il teorema di derivazione della funzione composta, assume simbolicamente la forma:
![]()
Che è facile da ricordare perché «sembra» (anche se non è!) un passaggio puramente algebrico («semplificare per dx»).
Un esempio più elementare del precedente, ma pure interessante, è quello delle notazioni che oggi usiamo per le potenze a esponente razionale.
Dopo aver definito le potenze a esponente intero positivo an come «abbreviazione del prodotto di n fattori uguali ad a», si introducono le potenze a esponente negativo:
e quelle a esponente frazionario:
con n, m, interi positivi. Si tratta di pure e semplici scelte notazionali arbitrarie? Certamente no.
Le potenze a esponente razionale, così definite, si dimostrano possedere tutte le proprietà formali delle potenze a esponente intero, ad esempio
aras = ar+s se r, s sono frazioni qualsiasi.
Per esempio, questo significa che
![]()
Che è una proprietà delle radici n-esime, che con questa notazione viene facilmente ricordata, e pensata come perfettamente analoga alle proprietà delle più elementari potenze a esponente intero positivo.
Le proprietà delle potenze a esponente negativo e razionale furono studiate per la prima volta nel XIV secolo da Oresme [Immagine a destra: Nicola d’Oresme (1323-1382)], che suggerì anche una speciale notazione per questi esponenti; i simboli di esponente negativo e razionale che usiamo oggi furono introdotti da Newton nel 1676, in una lettera a Oldenburg.
Dietro la scelta di questi simboli c’è la scoperta della profonda analogia tra le proprietà delle potenze (elementari) e quelle delle radici, analogia che permette di vedere le radici anch’esse come potenze, ma con esponente frazionario [Immagine a sinistra: Henry Oldenburg (1619-1677)].
Il simbolo incorpora in sé le proprietà dimostrate e la sintesi di pensiero che ne consegue. È stato scelto in modo arbitrario? In un certo senso sì (si potevano scegliere simboli diversi), ma certamente l’aver scelto questi simboli, come diceva Leibniz, «risparmia mirabilmente lo sforzo di pensiero». Esempi di questo tipo sono numerosi anche nella matematica un po’ più avanzata (d).
I simboli, inoltre, sono -almeno oggi, ed entro un periodo storico non troppo lungo- internazionali, perciò fanno sì che matematici di tutto il mondo, almeno quando parlano in modo «tecnico», parlino la stessa lingua.
Sintesi e osservazioni didattiche
A rischio di ripeterci, puntualizziamo alcune tesi documentate dal discorso precedente. Il linguaggio matematico non è un puro strumento per comunicare idee che esistono indipendentemente da esso. Il linguaggio codifica il modo in cui «pensiamo» oggetti e concetti matematici, perciò il linguaggio incorpora in sé idee, giudizi, sintesi di pensiero, progressi fatti da tutta una storia di ricerche su un certo problema. Il precisarsi del linguaggio è un punto d’arrivo e di partenza: il linguaggio infatti incorpora a volte risultati precisi e rigorosamente dimostrati in precedenza, altre volte idee che sono possedute in modo più implicito e non del tutto consapevole. In entrambi i casi, l’uso del linguaggio stesso diventa uno stimolo ad approfondire la riflessione su quel tema e farne maturare la consapevolezza.
Un linguaggio adeguato guida nell’affronto dei problemi: suggerisce il modo di analizzare un «problema reale» e formalizzarlo. Talvolta una buona formalizzazione rende un problema banale, o per lo meno di routine, mentre senza disporre del linguaggio corretto, lo stesso problema avrebbe richiesto idee e intuizioni non immediate. Altre volte, naturalmente, il problema ben formalizzato rimane un problema difficile, tuttavia è almeno trattabile, mentre senza quel linguaggio rimarrebbe totalmente al di fuori della portata di coloro che fanno ricerca.
Infine, un buon linguaggio apre nuovi orizzonti, rende naturale o per lo meno possibile porsi determinate domande che prima non erano neppure formulabili, indagare oggetti che prima non erano neppure definibili.
Perciò la scoperta e l’invenzione delle idee matematiche sono inseparabili dalla creazione e dall’uso del linguaggio matematico.
Questo rapporto tra linguaggio e idee matematiche è certamente un motivo importante delle difficoltà che si incontrano nello studiare e nell’insegnare la matematica: una delle cose più faticose da acquisire per uno studente è un linguaggio corretto, e d’altro canto dovrebbe essere chiaro dal discorso precedente quanto questo sia importante. I motivi di questa fatica sono vari.
Il motivo più ovvio è proprio il fatto che apprendere un linguaggio significa in realtà apprendere un insieme di idee non banali, che hanno richiesto tempo per maturare nella storia; perché dovrebbero poter maturare istantaneamente nella persona? Di questo occorre semplicemente essere consapevoli.
Esiste anche una certa resistenza tipica da parte dello studente a voler imparare il linguaggio; resistenza dovuta al pregiudizio diffuso nel senso comune, e già ricordato, per cui linguaggio e contenuto sono pensati come aspetti nettamente separati. «Io voglio capire le idee, “la sostanza”; farei a meno di usare questo linguaggio se il professore non fosse così pedante». Così facendo non si capisce che senza impadronirsi del linguaggio, sono proprio le idee che non si riescono a capire. E si perde il vantaggio di tutto il progresso e il pensiero che in quel linguaggio sono ricapitolati.
In terzo luogo, «insegnare il linguaggio» implica da parte del docente uno sforzo didattico non indifferente. Il linguaggio, infatti, è per il docente come un abito che indossa senza più neanche accorgersene; il docente mette a tema e sviscera esplicitamente certi contenuti, e molto più implicitamente comunica un certo linguaggio. Mettere a tema e sviscerare esplicitamente il linguaggio che si sta usando è un’operazione didattica delicata, che richiede nel docente uno sforzo di introspezione e di immedesimazione nell’ascoltatore («qual è la difficoltà che questi studenti stanno incontrando nel recepire questo termine? O che ho incontrato io?»).
Infine (quest’ultima osservazione forse è più pertinente all’insegnamento universitario che a quello scolastico), l’economia dell’esposizione, sia parlata che scritta (lezioni o libri di testo) inevitabilmente spinge a scivolare rapidamente, per esempio, sulle dimostrazioni più semplici, sulle implicazioni «di routine» che, se da una parte non sono certo quelle da cui si colgono le idee profonde di una disciplina, d’altro canto sono proprio la palestra migliore per impararne il linguaggio in quanto, come abbiamo segnalato, sono proprio quelle dimostrazioni in cui quasi tutto il lavoro è svolto dal linguaggio stesso.
Studiare queste semplici dimostrazioni ripercorrendone la logica per cogliere la potenza del linguaggio in azione è un esercizio prezioso che lo studente dovrebbe fare. E senza l’attivo coinvolgimento del ragionamento da parte dallo studente, soffermarsi su queste cose da parte del docente non produce alcun frutto.
Marco Bramanti
(Professore di Analisi Matematica presso il Politecnico di Milano)
Note
- Le prime parole del trattato di Newton De quadratura curvarum, dedicato al calcolo integrale e differenziale, sono: «Qui considero le grandezze matematiche non composte da piccolissime parti costanti, ma descritte per moto continuo. Le linee sono tracciate, e nel tracciarle sono generate, non per apposizione di parti, ma per moto continuo dei punti; le superfici sono generate dal moto di linee; i solidi dal moto di superfici; gli angoli per rotazione dei lati; eccetera».
- Felix Klein, 1849-1925, cit. in D’Amore-Matteuzzi, Dal numero alla struttura, Zanichelli, 1975, p.70
- Leibniz, in una lettera a Tschirnhaus del 1678; citato in Castelnuovo, Le origini del calcolo infinitesimale nell’era moderna, Zanichelli 1938, p. 97.
- Qualche esempio significativo dalla matematica universitaria: la definizione dell’esponenziale complesso exp(x+iy) come serie di potenze è data in modo da «ricordare» vari teoremi di De Moivre; la notazione Tf per indicare l’azione di un operatore lineare su una funzione «ci ricorda» la proprietà di linearità T(f+g) = Tf +Tg, che «sembra» una semplice proprietà distributiva; la scrittura
aiuta a ricordare il teorema sulla somma di due serie convergenti. In tutti questi casi il simbolo ci aiuta a fare passaggi corretti nell’usarlo.
© Pubblicato sul n° 43 di Emmeciquadro
