• Iscriviti alla Newsletter
  • Accedi
  • Registrati
IlSussidiario.net
  • In primo piano
    • Ultime notizie
    • Cronaca
    • Politica
    • Economia e finanza
    • Sanità
    • Cinema e Tv
    • Calcio e altri Sport
  • Sezioni
    • Cultura
    • Energia e Ambiente
    • Esteri
    • Impresa
    • Lavoro
    • Educazione
    • Musica e Concerti
    • Motori
    • Scienze
    • Hi-Tech
    • Sanità, salute & benessere
    • Donna²
    • Milano
    • Roma
    • Oroscopo
    • Turismo e Viaggi
    • Sanremo
    • Meeting di Rimini
    • Sostenibilità e Sussidiarietà
    • Food
    • Chiesa
    • Trasporti e Mobilità
    • Osservatorio sull’informazione statistica
    • Tags
  • Approfondimenti
    • Rubriche
    • Dossier
    • Speciali
  • Riviste
    • Emmeciquadro
  • Firme & Multimedia
    • Autori
    • Intervistati
    • Editoriale
    • Foto
  • Feed Rss
  • Donazione
    • Sostieni ilSussidiario.net
IlSussidiario.net
  • Video
  • Cronaca
  • Politica
  • Sanità
  • Economia
  • Sport
  • Turismo
  • Chiesa
  • Video
  • Cronaca
  • Politica
  • Sanità
  • Economia
  • Sport
  • Turismo
  • Chiesa
IlSussidiario.net
IlSussidiario.net

Home » Emmeciquadro » SCIENZA&STORIA/ Moto in un mezzo resistente nei «Principia» di Isaac Newton

  • Emmeciquadro
  • Emmeciquadro n° 27

SCIENZA&STORIA/ Moto in un mezzo resistente nei «Principia» di Isaac Newton

Vittorio Banfi
Pubblicato 10 Agosto 2006
Banfi_00-27_439x302_ok

L’autore coniuga con semplicità e essenzialità la dimensione storica e concettuale, trattando la genesi del calcolo infinitesimale nella soluzione di un problema specifico di dinamica.

Un contributo in cui l’autore coniuga con semplicità e essenzialità dimensione storica e dimensione concettuale, mettendo a tema la genesi del calcolo infinitesimale nella soluzione di un problema specifico di dinamica, secondo la trattazione newtoniana. Il confronto con l’impostazione odierna, di stampo invece leibniziano, permette di capirne l’eleganza, l’agilità e la fecondità nella soluzione dei problemi fisici. Una lettura utile agli insegnanti come suggerimento di metodo e agli studenti dell’ultimo anno di liceo per capire il nesso profondo tra fisica e matematica, di natura essenzialmente conoscitiva.


SOMMARIO/ N° 91 – Settembre 2025 – La sfida delle discipline scientifiche


Nella prima metà del Seicento gli studiosi di meccanica, nell’intento di perfezionare l’analisi del moto dei proiettili, iniziarono a considerare la resistenza dell’aria al fine di fondare un modello interpretativo più realistico per tale problema. Si ebbe così l’attività teorica di James Gregory (1638-1675), seguita da quella di John Collins (1625-1683) e di John Wallis (1616-1703). Comunque il primo studio organico e completo si trova nel trattato De Motu (1684) e successivamente nei Principia (1687), entrambi di Isaac Newton.
Newton dedica tre parti del secondo libro dei Principia [1] al moto di un corpo in un mezzo resistente. Gli argomenti delle tre parti sono: mezzo resistente con legge proporzionale alla velocità, con legge proporzionale al quadrato della velocità e infine con legge combinata parzialmente con la prima e la seconda potenza della velocità.
Ci occuperemo solo degli argomenti della prima parte in quanto è proprio in essa che sono delineate le ipotesi di base e il metodo geometrico-analitico che permettono di giungere alla soluzione del problema posto. Inoltre in questa parte appare chiaro il ripensamento profondo sullo stile di elaborazione matematica, da adottare per le sue ricerche, che si sviluppa nella Geometria Curvilinea del 1680 [2].
Questo progetto newtoniano consiste nell’estendere la teoria delle proporzioni con l’aggiunta di nuovi concetti, in modo da riformulare i contenuti dell’analisi infinitesimale in termini geometrici. Si tratta, per maggior chiarezza, di unire, alle considerazioni di geometria euclidea, il ragionamento sulle quantità «evanescenti».
Queste ultime sono: tratti di segmento rettilineo, archi di circonferenza o di altra curva, aree quadrate o rettangolari o mistilinee, fatte variare (con una sorta di variazione cinematica che anticipa il concetto moderno di limite) sino ad annullarsi, traendo contemporaneamente risultati finali utili alla dimostrazione globale dell’asserto.


EDITORIALE N.91 - La sfida delle discipline scientifiche


Analisi della soluzione newtoniana

Come quasi sempre negli scritti di Newton, è premessa la «tesi», o conclusione, contenente la «legge fisica» del fenomeno di studio, a cui fa seguito la dimostrazione.
Partiamo allora dalla Proposizione II, Sezione II, così come la troviamo nel testo newtoniano: «Proposizione II. Teorema II. Se a un corpo viene opposta resistenza in ragione della velocità e il medesimo è mosso attraverso un mezzo omogeneo dalla sola forza insita, e i tempi sono assunti uguali, le velocità all’inizio dei singoli tempi sono in progressione geometrica e gli spazi descritti durante i singoli tempi sono proporzionali alle velocità».
Osserviamo innanzitutto la locuzione: «il medesimo [corpo] è mosso attraverso un mezzo omogeneo dalla sola forza insita». Ciò significa chiaramente che il corpo entra inizialmente nel mezzo omogeneo con una certa velocità (e quindi, diremo oggi, con una certa energia cinetica) e, per il fatto che il moto si sviluppa lungo una retta orizzontale (perpendicolare quindi alla direzione verticale della gravità), l’unica forza agente è la stessa «resistenza del mezzo». Il corpo quindi non può che rallentare in modo monotono.
Si tratta allora, per giungere alla soluzione del problema, di calcolare l’evoluzione del moto, per quanto concerne velocità e spazio percorso, al fine di dimostrare l’asserto contenuto nella Proposizione II.
Newton suppone subito, nella sua dimostrazione, che un dato intervallo finito di tempo sia diviso in piccoli intervalli uguali (l’espressione newtoniana è «particella di tempo»), successivamente destinati a diventare «infinitesimi». All’inizio di ciascuna particella di tempo, la forza di resistenza agisce, seguendo il testo latino, «simul et semel», ossia mediante un colpo impulsivo, simul, all’inizio di ciascuna particella di tempo, e questo una sola volta, semel, nell’intervallo stesso.


SCIENZAinATTO/ Alla Specola Vaticana oggi: ricerca, formazione, spiritualità


Questo modo di azione discontinua, per ogni successivo intervallo, della forza di resistenza è sostituito più tardi, nella dimostrazione, da un’azione continua, adottando un processo di passaggio al limite.[3]
Nell’immagine che segue è illustrato un diagramma (oggi si direbbe istogramma), nel quale in ascissa compare il tempo, come variabile continua, e in ordinata le velocità durante i successivi intervalli di tempo considerati 1, 2, 3, eccetera.

Velocità di penetrazione in funzione del tempo ti+1 – ti = Δt; i = 0, 1, 2, 3…; t0 = 0

 

All’inizio di ciascun intervallo, cioè t = 0, t = t1, t = t2… il corpo subisce, in un tempo infinitesimo, un impulso che gli fa variare la velocità in diminuzione. Tale decremento è proporzionale al valore stesso della velocità (il mezzo agisce infatti con una resistenza proporzionale alla prima potenza della velocità).
Ne segue pertanto:


SCIENZA&STORIA/ Alchimia e Chimica nell’opera di Isaac Newton


(1)              v1 = v0 – kv0,  

V2 = v1 – kv1, 

V3 = v2 – kv2,

Essendo v0, v1, v2… rispettivamente le velocità all’inizio del primo intervallo, del secondo, del terzo e così via e k un’opportuna costante. Poi, durante ciascun intervallo, la velocità si mantiene costante perché non agisce più alcuna forza resistente (e quindi il moto è uniforme).
Dalla (1) otteniamo:

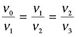
V1/v0 = 1-k,   v2/v1 = 1-k,   v3/v2= 1-k …

Oppure:

(2)             v0/v1 = v1/v2 = v2/v3 …

La (2) ci consente facilmente di stabilire che la relazione caratterizzante l’evoluzione della velocità è quella che scaturisce dalle parole, contenute nell’asserto newtoniano citato, ossia «le velocità all’inizio di ciascuno di questi tempi saranno in proporzione geometrica ».
[A sinistra. Immagine (a): Proprietà dell’iperbole equilatera dimostrata da Gregorio di Saint-Venant]
Occorre tener conto delle due condizioni seguenti:
a)  il tempo aumenta uniformemente;
b)  le velocità, a cominciare da t = 0 in poi, sono in proporzione geometrica.
Per le sue proprietà, una sola curva, l’iperbole equilatera, permette di soddisfare alle condizioni (a) e (b).
In effetti se le ascisse di un’iperbole equilatera crescono in proporzione geometrica, allora le aree delle superfici sotto l’iperbole, limitata dalle ordinate corrispondenti, crescono in progressione aritmetica. 
Newton aveva appreso questa proprietà da uno studio di Gregorio di Saint–Venant.[4]
È assai facile, con i metodi odierni, dimostrare questa proprietà.
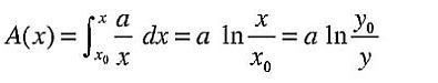
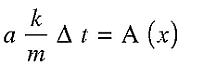
Sia data (come nell’immagine) l’iperbole equilatera avente l’equazione y = a/x (con a costante positiva reale). L’area, denotata con A(x), del quadrangolo mistilineo ABCD, compreso tra l’ordinata passante per x0 e quella per la generica ascissa x, la curva stessa e infine l’asse x, vale:


SCIENZA&STORIA/ La Mela o la Luna di Newton? L'itinerario concettuale verso la Forza Gravitazionale


(3)         

Se supponiamo che x e y siano funzioni entrambe del parametro t (il tempo), avremo, per esempio, x = c tn con c costante reale e positiva e n intero e positivo.
Pertanto dalla (3) si ha:

(4)        

 

Nella (4) assumiamo c = x0.
Avremo:

A(x) = n a ln t

Quando t varia in progressione geometrica, per esempio e1, e2, e3… con e = 2,71828… base dei logaritmi neperiani, allora A(x) varia in progressione aritmetica.
Vediamo come Newton sfrutta questa proprietà dell’iperbole.
Se, in ascissa, sono riportate in progressione geometrica le velocità, l’aumento continuo del tempo è, per la proprietà dimostrata, rappresentato dal crescere delle aree comprese sotto l’iperbole.
[A destra. Immagine (b): Diagramma unito al testo dei “Principia”]
Ritorniamo ora al testo della dimostrazione di Newton, con il diagramma associato nei Principia e illustrato nell’immagine (b) a lato.
«Di conseguenza, se rispetto agli asintoti rettangolari AC, CH, viene descritta l’iperbole BG, e se AB, DG sono perpendicolari rispetto all’asintoto AC, e se si rappresenta tanto la velocità del corpo quanto la resistenza del mezzo, all’inizio stesso del moto, mediante una qualsiasi linea data AC, e, passato un certo tempo, mediante la linea indefinita DC, allora il tempo può essere espresso per mezzo dell’area ABGD, e lo spazio descritto durante tale tempo per mezzo della linea AD. Infatti, se quell’area mediante il moto del punto D viene uniformemente aumentata allo stesso modo del tempo, la retta DC decrescerà in ragione geometrica allo stesso modo della velocità, e le parti della retta AC descritte in tempi uguali decresceranno nella stessa ragione».
Le locuzioni «linea AC» e «retta DC» sono ovviamente da intendersi come i segmenti AC e AD.
Ecco quindi dimostrata la parte di geometria euclidea con l’ausilio della proprietà descritte dell’iperbole; le velocità, in progressione geometrica, sono proporzionali ai tempi.
Applichiamo ora, alla situazione dell’istogramma rappresentato nell’immagine precedente, il «metodo specifico» newtoniano.


SCIENZA&STORIA/ Il Pendolo Cicloidale e il Tubo a “U”. Un procedimento analogico Newtoniano


Ecco le sue parole: «Si diminuiscano ora quelle particelle di tempo, e si aumenti all’infinito il loro numero, così che l’impulso della resistenza sia reso continuo: la velocità, sempre in proporzione continua all’inizio dei tempi uguali, saranno anche in questo caso in proporzione continua. c.v.d..»

 

 

Il problema di Newton e la sua soluzione odierna

 

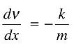
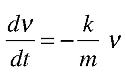
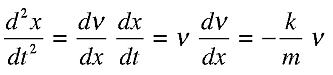
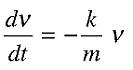
Sia dato un corpo di massa m, dotato di moto rettilineo e uniforme con velocità v0, che entra, al tempo t = 0, in un mezzo resistente, a partire dall’ascissa x = 0. L’asse x è preso nel senso del moto e sia kv la resistenza del mezzo a una qualsiasi ascissa x.
Avremo l’equazione differenziale:

(5)                  oppure    

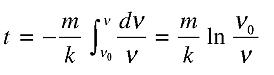
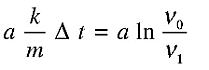
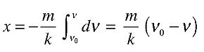
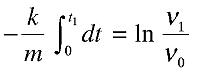
Si ricava immediatamente il tempo trascorso tra t = 0 e un istante t in cui il corpo ha raggiunto la velocità v < v0 (all’ascissa x); ecco la formula:

(6)           

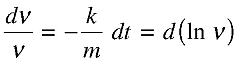
Dalla (5) abbiamo anche:

Da cui:

Integrando la precedente tra v0 e v:

(7)         

Paragonando ciò che abbiamo trovato con il testo newtoniano e con l’immagine precedente a esso associata, le velocità v0 e v corrispondono ai segmenti AC e DC; il tempo t, dato dalla formula (6), corrisponde all’area del quadrangolo mistilineo ABGD. Infine lo spazio x, dato dalla formula (7), corrisponde al segmento AD.
Vediamo ora la dipendenza della velocità v dal tempo t.
La (6) applicata al primo intervallo 0 – t1, nella precedente immagine (a) [Iperbole equilatera] reca:

    e quindi:  

Ossia la velocità passa dal valore v0 al valore v1 < n0 nell’intervallo Δt. Poi nel successivo intervallo Δt, cioè t2 – t1 nell’immagine precedente (a) [Iperbole equilatera], al valore v2 < v0 … e così via.
Avremo quindi:

E dividendo membro a membro le precedenti:

Cioè la formula (2).
Si rilegga la citazione newtoniana in chiusura del paragrafo precedente; si noterà che viene ribadito due volte che «quelle particelle di tempo debbono essere uguali».
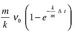
Volendo infine l’espressione dello spazio percorso nell’intervallo Δt, valendoci della (7), avremo:

Spazio percorso dal corpo =

Vi è anche un’altra osservazione che, partendo dalla equazione del moto (5), nella forma

Giustifica l’impiego dell’iperbole equilatera che compare nella precedente immagine (b) [Diagramma dal testo dei “Principia”] .
Scriviamo allora:

     cioè     

Integriamo la precedente tra 0 e t1, avremo:

(8)          

Ossia anche:

(9)        

La formula (9) coincide la (3) qualora si ponga, al posto di v0, y0 e poi al posto di v1, y1.
Infine si assuma:

Ecco quindi spiegato l’uso newtoniano dell’iperbole equilatera.

 

 

Commenti conclusivi

 

Il confronto tra la trattazione di Newton e quella odierna mediante la soluzione dell’equazione differenziale induce ad alcune riflessioni.
Esaminando gli studi condotti da Newton, a partire dal De analysi (1669) e continuando nel trattato [5] Methodus fluxionum (1671), nella Geometria Curvilinea (1680), e finalmente nei Principia (1687), assistiamo a un continuo raffinamento del calcolo infinitesimale con una ricerca tendente a modificare le notazioni al fine di rendere più trasparente e insieme più incisivo il suo pensiero.
Questi sforzi per altro non furono completamente coronati dal successo, anche perché Newton inclinava verso una trattazione geometrica che riteneva più elegante o, forse, più consona alla sapienza dell’antica Grecia e, più in generale, a quella dei popoli dell’antichità. Il fatto storico è che Gottfried W. Leibniz (1646-1716) propose una notazione fondamentale più comoda e agile, atta alle applicazioni.
Questa notazione, sviluppata dopo il 1700 da Pierre Varignon (1654-1722) e Jakob Bernoulli (1654-1705), si rivelò alla fine vincente. Occorre osservare comunque che la trattazione di Newton, nonostante la sua sinteticità, è un notevole esempio di creatività e di bellezza nell’affronto di un problema fisico per via matematica. Dopo di lui si afferma un algoritmo levigato e potente, che si rivelerà ottimo per l’ausilio nell’indagini fisiche.
A partire dall’inizio del Settecento appare il concetto di equazione differenziale come «modello matematico» del problema fisico.
Ecco la grande svolta: lo sviluppo della meccanica celeste nei secoli XVIII e XIX e poi della fisica teorica nel XX secolo.

 

 

Vittorio Banfi
(Ha lavorato, dal 1969 al 1984, come collaboratore esterno presso l’Osservatorio di Pino Torinese. E’ membro del Centro di Astrodinamica «G. Colombo». Collabora con il Dipartimento di Fisica e Matematica dell’Università degli Studi. La sua ricerca si è sviluppata nel campo dell’Astrofisica teorica del Sistema Solare)

 

 

Vai al PDF di questo articolo

 

 

Indicazioni Bibliografiche

  1. Isaac Newton, Principi matematici della filosofia naturale a cura di A. Pala, UTET, Torino 1965
  2. Quest’opera, insieme con De Analysi si trova in The mathematical papers of Isaac Newton a cura di D.T. Whiteside, Cambridge University Press, 1667-1687 (8 volumi)
  3. Isaac Newton, Mathematical Principles of Natural Philosophy and his System of the World by F. Cajori, University of California Press, 1962
  4. Gregoire de Saint-Venant, Corpus geometricum quadraturae circuli et sectionis coni, Anvers 1647
  5. Isaac Newton, La méthode des fluxions et des suites infinies, Blanchard, Paris 1994.

 

 

 

 

© Pubblicato sul n° 27 di Emmeciquadro

Leggi anche

  • SCIENZA&STORIA/ Alchimia e Chimica nell’opera di Isaac Newton
  • SCIENZA&STORIA/ La Mela o la Luna di Newton? L'itinerario concettuale verso la Forza Gravitazionale
  • SCIENZA&STORIA/ Il Pendolo Cicloidale e il Tubo a “U”. Un procedimento analogico Newtoniano

Ti potrebbe interessare anche

Ultime notizie di Emmeciquadro

Ultime notizie

Gli archivi del canale di Emmeciquadro

ilSussidiario.net

il Quotidiano Approfondito con le ultime news online

  • Privacy e Cookies Policy
  • Aiuto
  • Redazione
  • Chi siamo
  • Pubblicità
  • Whistleblowing
  • MOG 231/2001
  • Feed Rss
  • Tags

P.IVA: 06859710961

  • In primo piano
    • Ultime notizie
    • Cronaca
    • Politica
    • Economia e finanza
    • Sanità
    • Cinema e Tv
    • Calcio e altri Sport
  • Sezioni
    • Cultura
    • Energia e Ambiente
    • Esteri
    • Impresa
    • Lavoro
    • Educazione
    • Musica e Concerti
    • Motori
    • Scienze
    • Hi-Tech
    • Sanità, salute & benessere
    • Donna²
    • Milano
    • Roma
    • Oroscopo
    • Turismo e Viaggi
    • Sanremo
    • Meeting di Rimini
    • Sostenibilità e Sussidiarietà
    • Food
    • Chiesa
    • Trasporti e Mobilità
    • Osservatorio sull’informazione statistica
    • Tags
  • Approfondimenti
    • Rubriche
    • Dossier
    • Speciali
  • Riviste
    • Emmeciquadro
  • Firme & Multimedia
    • Autori
    • Intervistati
    • Editoriale
    • Foto
  • Feed Rss
  • Donazione
    • Sostieni ilSussidiario.net

Ben Tornato!

Accedi al tuo account

Password dimenticata? Sign Up

Create New Account!

Fill the forms bellow to register

All fields are required. Accedi

Recupera la tua password

Inserisci il tuo nome utente o indirizzo email per reimpostare la password.

Accedi
  • In primo piano
    • Ultime notizie
    • Cronaca
    • Politica
    • Economia e finanza
    • Sanità
    • Cinema e Tv
    • Calcio e altri Sport
  • Sezioni
    • Cultura
    • Energia e Ambiente
    • Esteri
    • Impresa
    • Lavoro
    • Educazione
    • Musica e Concerti
    • Motori
    • Scienze
    • Hi-Tech
    • Sanità, salute & benessere
    • Donna²
    • Milano
    • Roma
    • Oroscopo
    • Turismo e Viaggi
    • Sanremo
    • Meeting di Rimini
    • Sostenibilità e Sussidiarietà
    • Food
    • Chiesa
    • Trasporti e Mobilità
    • Osservatorio sull’informazione statistica
    • Tags
  • Approfondimenti
    • Rubriche
    • Dossier
    • Speciali
  • Riviste
    • Emmeciquadro
  • Firme & Multimedia
    • Autori
    • Intervistati
    • Editoriale
    • Foto
  • Feed Rss
  • Donazione
    • Sostieni ilSussidiario.net