• Iscriviti alla Newsletter
  • Accedi
  • Registrati
IlSussidiario.net
  • In primo piano
    • Ultime notizie
    • Cronaca
    • Politica
    • Economia e finanza
    • Sanità
    • Cinema e Tv
    • Calcio e altri Sport
  • Sezioni
    • Cultura
    • Energia e Ambiente
    • Esteri
    • Impresa
    • Lavoro
    • Educazione
    • Musica e Concerti
    • Motori
    • Scienze
    • Hi-Tech
    • Sanità, salute & benessere
    • Donna²
    • Milano
    • Roma
    • Oroscopo
    • Turismo e Viaggi
    • Sanremo
    • Meeting di Rimini
    • Sostenibilità e Sussidiarietà
    • Food
    • Chiesa
    • Trasporti e Mobilità
    • Osservatorio sull’informazione statistica
    • Tags
  • Approfondimenti
    • Rubriche
    • Dossier
    • Speciali
  • Riviste
    • Emmeciquadro
  • Firme & Multimedia
    • Autori
    • Intervistati
    • Editoriale
    • Foto
  • Feed Rss
  • Donazione
    • Sostieni ilSussidiario.net
IlSussidiario.net
  • Video
  • Cronaca
  • Politica
  • Sanità
  • Economia
  • Sport
  • Turismo
  • Chiesa
  • Video
  • Cronaca
  • Politica
  • Sanità
  • Economia
  • Sport
  • Turismo
  • Chiesa
IlSussidiario.net
IlSussidiario.net

Home » Emmeciquadro » Emmeciquadro n° 64 » SCIENZ@SCUOLA/ Misura di «g» con pendolo non in regime caotico

  • Emmeciquadro n° 64
  • Emmeciquadro

SCIENZ@SCUOLA/ Misura di «g» con pendolo non in regime caotico

Costantino Sigismondi
Pubblicato 26 Aprile 2017
Sigismondi_64_00_apertura-pendolo_720x495_ok

Pendolo di Foucault, Pantheon di Parigi

Misurare l’accelerazione di gravità con un pendolo è un esperimento di base in un corso di Fisica, ma richiede attenzione al dispositivo per evitare che il pendolo semplice diventi caotico.

Un calcolo dell’accelerazione di gravità, per mezzo della misura del periodo delle oscillazioni di un pendolo semplice.
Un esperimento solo apparentemente senza problemi: la realizzazione di un dispositivo che eviti oscillazioni caotiche ha permesso agli studenti di confrontarsi con le difficoltà sperimentali e di superarle con appositi accorgimenti, grazie ai quali alla fine si sono ottenute le condizioni per una misura corretta.


SCIENZ@SCUOLA/ Insegnare biologia: complessità e ricorsività vs semplificazione


Il Liceo Scientifico indirizzo delle Scienze Applicate ha visto svanire le ore di laboratorio di Fisica, che non possono essere completamente supplite da una didattica multimediale da assegnare per casa: l’esigenza di esperimenti semplici e profondi allo stesso tempo, facilmente realizzabili in aula, mi ha portato a fondere le esperienze maturate al biennio dell’Istituto Tecnico Industriale con quelle del liceo scientifico, in alcuni moduli didattici che sto presentando nelle pagine di questa rivista.
Quella del pendolo non caotico, che sarebbe poi il vero pendolo semplice, che tanto semplice non è…, è pensata per gli studenti del biennio di questo indirizzo del liceo scientifico, che hanno solo due ore curricolari a settimana di Fisica.
L’articolo è strutturato nel modo seguente.
Per prima cosa si introduce una motivazione per la misura accurata dell’accelerazione di gravità, di solito relegata solo a qualche esercizio di libri di corsi di studi superiori, legata alla fisica spaziale.
Poi viene studiato in dettaglio il filo con cui viene realizzato il pendolo, in particolare il suo modulo di elasticità, responsabile del comportamento caotico delle oscillazioni e si discute come sono state evitate con un peso minimo.
Infine si presentano i dati degli esperimenti condotti in aula con le loro conclusioni.


SCIENZ@SCUOLA/ Insegnare fisica al biennio del Liceo Scientifico OSA


L’accuratezza della misura di g e il Geoide

Il Geoide è la superficie equipotenziale per la forza di gravità sulla Terra, come il Lunoide lo è per la Luna. Il Geoide differisce dal puro ellissoide di rotazione anche di ± 50 m a causa della distribuzione non esattamente omogenea delle masse terrestri (montagne, pianure, piattaforme continentali, fosse, eccetera).
Il vettore , accelerazione di gravità, è sempre perpendicolare alla superficie del Geoide.
Qualunque altro corpo celeste ha le sue superfici equipotenziali secondo la gravità … e le recenti imprese della sonda europea Rosetta ha dovuto tenere conto dell’andamento della gravità di una cometa.
Nel Geoide per esempio la presenza di montagne nelle vicinanze riesce a deviare il filo a piombo di alcuni secondi d’arco rispetto allo zenith astronomico.1
Le anomalie del Lunoide [Mascon2] determinano la deviazione delle orbite dei satelliti calcolate per una Luna sferica e omogenea. Queste anomalie sono di qualche millesimo di g, cioè influenzano la seconda cifra decimale, come la variazione di g con la quota.
È bene impostare degli esperimenti dimostrativi il più accurati possibile per aprire anche gli studi iniziali già alla prospettiva della ricerca come osservazione, misura accurata e comprensione della realtà.


SCIENZ@SCUOLA/ Percorso di osservazione al microscopio degli organismi vegetali


La scelta di filo e peso per realizzare un pendolo semplice

Un filo e un peso qualsiasi possono dar luogo a un pendolo caotico. Con l’idea di realizzare un pendolo di Foucault ho sospeso a 3,6 m d’altezza un peso di 1 kg aspettandomi piccole oscillazioni ben stabili nel loro piano: il risultato è stato invece un pendolo che ruotava continuamente il suo piano di oscillazione.
Il grosso peso voleva imitare quello usato attualmente nei musei o istituzioni scientifiche, e da Jean Bernard Léon Foucault (1919-1868) nella famosa esperienza nel Pantheon di Parigi; i fili sono lunghi 5-10 metri, ma possono arrivare fino a 68 metri.

Con le misure sul modulo di elasticità del nostro filo di lunghezza l = 3.6 m, si è verificato che sul filo venivano indotte delle vibrazioni verticali con frequenza 0.9 Hz che rendevano il pendolo caotico, cioè che descriveva delle ellissi nello spazio, anziché andare avanti e indietro sullo stesso piano.
La verifica delle orbite del pendolo caotico era sotto gli occhi di tutti, e non si è proceduto a fare altre misure. Nell’esperimento qui descritto invece si è cercato di evitare le sorgenti degli effetti sopradescritti.

 

Piccole oscillazioni e misure temporali ritmate

Se la grande massa era una garanzia di attrito trascurabile, rispetto alla sua energia cinetica/potenziale, era chiaro che le oscillazioni longitudinali impresse al filo ponevano problemi alla stabilità delle oscillazioni. Allora ho scelto una massa molto piccola, e per ridurre al massimo l’attrito, ho limitato l’ampiezza delle oscillazioni considerate a ± 0.5 cm.
Il pendolo oscillava spostandosi avanti e indietro in tutto di 1 cm, appeso all’architrave della porta (chiusa) dell’aula, visibile da tutti gli studenti anche seduti al loro posto.
Per far partecipare tutti gli studenti in aula alle misure ho consentito loro di usare i loro smartphone come cronometri e ho dato loro il ritmo delle oscillazioni e ne ho fatte misurare 10, per ridurre al minimo l’errore di misura.
A voce alta ho declamato «tre, due, uno ZERO, UNO….OTTO, NOVE, STOP», spiegando loro che tre, due e uno erano per prendere il ritmo e alla Z di ZERO dovevano far partire il cronometro … OTTO e NOVE ancora per prendere il ritmo e STOP al secondo «dieci» per fermare il cronometro.
Con questo metodo si è ottenuto una dispersione delle misure inferiore a 0.2 s, per tutti gli studenti della classe, con errore sulla singola osservazione entro 2/100 di secondo!
Il segreto di questo successo è stato quello di dare il ritmo, evitando di dover confrontarsi con il tempo di reazione a un evento improvviso, che avrebbe aumentato l’errore di misura: le oscillazioni sono un evento periodico, non c’è nessuna necessità di impartire segnali improvvisi, da cui l’idea di abituare al ritmo tutti i misuratori.

 

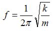
Il modulo di elasticità del filo e la sua frequenza propria longitudinale

Come filo per il pendolo ho scelto un filo di cotone da un rocchetto del primo novecento marca Cucirini Cantoni Coats3: cucirino lucido n. 10, marca busto (400 yarde, cioè 365 metri).
La misura della costante elastica di questo filo, applicando la legge di Hooke sull’elasticità, ha dato 6.1 mm di allungamento con 50 g di peso e 12.35 mm con 100 g, con una costante elastica di k = 93±5 N/m, che è la media dei coefficienti che danno i due allungamenti misurati; carichi oltre i 100 g non sono stati usati poiché il filo tendeva a sciogliersi e se la presenza di altri nodi poteva garantire il sostegno di pesi maggiori, risultava più complicato giudicare quanto dell’allungamento era dovuto alla risposta elastica del filo e quanto invece allo scioglimento o serramento dei nodi.
Queste misure sono state eseguite al tavolo della cattedra, con l’aiuto di pesetti attaccati al rocchetto che fungeva da punto materiale del pendolo. Un calibro ha permesso misure degli allungamenti più accurate.

Il peso del pendolo fissato al filo e sulla sinistra l’altro capo del filo, che è stato attaccato all’architrave della porta (chiusa) dell’aula; le oscillazioni entro 1 cm erano possibili anche a porta chiusa, mentre con la porta aperta ci sarebbe stato il disturbo di correnti d’aria.

Al filo era appeso un rocchetto di nastro adesivo (scotch) di massa m = 10.7 g, nel cui centro geometrico abbiamo collocato idealmente il «punto materiale» del pendolo semplice.
L’allungamento con una massa m = 10.7 g era Δx = 1.2 mm, ma il pendolo era messo in movimento senza applicare forze verticali, per cui non si attivavano oscillazioni nella direzione del filo.

Dalle leggi del moto armonico otteniamo la formula per la frequenza f propria di una molla con costante elastica k e massa m, che abbiamo implementato per i nostri dati, con il filo nel ruolo di molla e il punto materiale in quello di massa.
La frequenza propria f del sistema elastico filo-peso è data dalla relazione:


Si è ottenuto f = 14.8±0.4 Hz, ben lontana da quella propria del pendolo in cui il filo è lungo L= 1.096 m, che risulta di 0.5 Hz, quindi il trasferimento di energia tra il modo oscillatorio e quello vibrazionale è molto lento, a differenza del caso precedente dove le frequenze erano più prossime (0.93 Hz per l’elasticità del filo e 0.26 Hz per le oscillazioni del pendolo) e il moto diventava caotico in meno di un minuto.

 

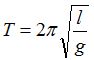
Dati e risultati conclusivi sulla misura di g con il pendolo

Con la distanza tra il punto di applicazione del filo e il centro del rocchetto di valore l=1.118 m abbiamo misurato 10 oscillazioni con un periodo medio T=21.22±0.12s.
Ricordando la formula del periodo delle oscillazioni armomniche del pendolo:


si è ricavata l’accelerazione di gravità g:

g =4π²l/T²


La propagazione degli errori sul valore dell’accelerazione di gravità g

L’errore sul periodo T era il 5‰ con tutti gli accorgimenti sopra descritti.
Nella formula finale per il calcolo di g, l’errore percentuale su T incide per il doppio, e dava quindi 1% o 10‰; quello sulla lunghezza del filo, inferiore all’1‰ (al millimetro), si somma, così il valore dell’accelerazione di gravità è risultato: g = 9.80±0.11 m/s².

 

Discussione

Questo esperimento risolve un problema pratico: se si improvvisa un pendolo di lunghezza l dell’ordine di 1 metro e se ne misura il periodo T, assumendo g = 9.8 m/s², questo periodo non corrisponde esattamente a quello dato dalla formula , ma se ne può discostare anche parecchio. Se ricaviamo g dalla relazione precedente, vediamo che è normale incorrere in un errore del 10% o 20%.
Le cose possono migliorare con pendoli di lunghezza maggiore, tra 2 e 3 metri, ma non sempre è possibile realizzarne in aula, specie se in modo estemporaneo.
Dopo aver fatto una misura accurata di l, scegliendo anche un peso di forma simmetrica (un anello, nel cui centro cade il baricentro e quindi la posizione del punto materiale che lo rappresenta), ho limitato le oscillazioni a un’ampiezza di 0.5 cm, sufficiente per essere viste da me e dai ragazzi.
Per migliorare le misure temporali ho adottato il metodo del ritmo, partendo da tre/cinque oscillazioni prima della «zeresima» fino alla decima-stop.
Nominare lo zero aiuta a non sbagliarsi quando le oscillazioni da misurare sono tante: quando si dirà «due» effettivamente il pendolo ha completato la seconda oscillazione completa … e così via.
Le piccole oscillazioni di un peso molto leggero ne riducono la velocità e quindi l’attrito con l’aria, che, pur non modificando l’isocronismo, smorzerebbe le oscillazioni, variando continuamente l’energia del sistema, che invece possiamo considerare costante.
La leggerezza del peso aumenta la frequenza propria di oscillazione longitudinale del filo, allontanandola dalla frequenza propria del pendolo; invece nel caso di una massa di 1 kg, circa 100 volte più pesante del rocchetto di scotch, la frequenza propria longitudinale e quella del pendolo sono più vicine, favorendo fenomeni di trasmissione di energia tra i due modi oscillatori, che ne complicano la dinamica verso il regime caotico.
Ringrazio gli alunni del biennio del Liceo Galileo Ferraris di Roma.

 

Vai al PDF dell’articolo

 

Costantino Sigismondi
(ICRA/Sapienza e Liceo Galileo Ferraris, Roma)

Indicazioni bibliografiche

E. P. Pignatiello, I segreti del cotone da cucito, 2011 in:
moda.san.beniculturali.it/wordpress/wp-content/uploads/2011/11/cuciriniperpdf.pdf

 

Note

  1. it.wikipedia.org/wiki/Deviazione_della_verticale

  2. www.lescienze.it/news/2013/05/31/news/luna_formazione_anomalie_gravit-1677887/

  3. moda.san.beniculturali.it/wordpress/wp-content/uploads/2011/11/cuciriniperpdf.pdf

 

 

© Pubblicato sul n° 64 di Emmeciquadro


Ti potrebbe interessare anche

Ultime notizie di Emmeciquadro n° 64

Ultime notizie

Gli archivi del canale di Emmeciquadro n° 64

ilSussidiario.net

il Quotidiano Approfondito con le ultime news online

  • Privacy e Cookies Policy
  • Aiuto
  • Redazione
  • Chi siamo
  • Pubblicità
  • Whistleblowing
  • MOG 231/2001
  • Feed Rss
  • Tags

P.IVA: 06859710961

  • In primo piano
    • Ultime notizie
    • Cronaca
    • Politica
    • Economia e finanza
    • Sanità
    • Cinema e Tv
    • Calcio e altri Sport
  • Sezioni
    • Cultura
    • Energia e Ambiente
    • Esteri
    • Impresa
    • Lavoro
    • Educazione
    • Musica e Concerti
    • Motori
    • Scienze
    • Hi-Tech
    • Sanità, salute & benessere
    • Donna²
    • Milano
    • Roma
    • Oroscopo
    • Turismo e Viaggi
    • Sanremo
    • Meeting di Rimini
    • Sostenibilità e Sussidiarietà
    • Food
    • Chiesa
    • Trasporti e Mobilità
    • Osservatorio sull’informazione statistica
    • Tags
  • Approfondimenti
    • Rubriche
    • Dossier
    • Speciali
  • Riviste
    • Emmeciquadro
  • Firme & Multimedia
    • Autori
    • Intervistati
    • Editoriale
    • Foto
  • Feed Rss
  • Donazione
    • Sostieni ilSussidiario.net

Ben Tornato!

Accedi al tuo account

Password dimenticata? Sign Up

Create New Account!

Fill the forms bellow to register

All fields are required. Accedi

Recupera la tua password

Inserisci il tuo nome utente o indirizzo email per reimpostare la password.

Accedi
  • In primo piano
    • Ultime notizie
    • Cronaca
    • Politica
    • Economia e finanza
    • Sanità
    • Cinema e Tv
    • Calcio e altri Sport
  • Sezioni
    • Cultura
    • Energia e Ambiente
    • Esteri
    • Impresa
    • Lavoro
    • Educazione
    • Musica e Concerti
    • Motori
    • Scienze
    • Hi-Tech
    • Sanità, salute & benessere
    • Donna²
    • Milano
    • Roma
    • Oroscopo
    • Turismo e Viaggi
    • Sanremo
    • Meeting di Rimini
    • Sostenibilità e Sussidiarietà
    • Food
    • Chiesa
    • Trasporti e Mobilità
    • Osservatorio sull’informazione statistica
    • Tags
  • Approfondimenti
    • Rubriche
    • Dossier
    • Speciali
  • Riviste
    • Emmeciquadro
  • Firme & Multimedia
    • Autori
    • Intervistati
    • Editoriale
    • Foto
  • Feed Rss
  • Donazione
    • Sostieni ilSussidiario.net